Controlled Row Farming
Vision
Reihenbezogener Ackerbau mit besonderem Fokus auf Biodiversität
In 2020 startete AMAZONE ein neues, langfristig angelegtes Ackerbau-Versuchswesen.
Unter dem Titel „Controlled Row Farming“ (CRF) wird ein vollkommen neues Ackerbauverfahren für die Landwirtschaft vorgestellt, bei dem jede pflanzenbauliche Maßnahme im Bezug zu einer festen Reihe erfolgt.
Die Vision des agrar-ökologischen Ackerbausystems CRF besteht in dem bedarfsgerechten Einsatz von Betriebsmitteln zur Erzielung angemessener Erträge und Erlöse in Kombination mit einem maximalem Beitrag zu Biodiversität.
Ziel soll sein, die Biodiversität intensiv zu fördern und gleichzeitig eine hohe Effizienz im Ackerbau zu erreichen. Beide Ziele sollen nicht nur in Einklang gebracht werden, sondern sich idealerweise auch unterstützen.
Konzept

Sämtliche Kulturpflanzen werden im CRF-Konzept in einer Reihenweite von 50 Zentimetern angebaut, wobei die Saat des Getreides in Doppelreihen erfolgt. Je nach Fruchtfolge kann die Reihe um 25 Zentimeter versetzt werden, um zum Beispiel den Vorfruchtwert der Untersaat zu nutzen. Die Saat erfolgt in der Regel in Kombination mit reihenorientierter Düngung. Der Pflanzenschutz erfolgt überwiegend reihenbezogen mittels Bandapplikation auf die Reihe und mit Dropleg-Systemen in den höheren Beständen. Sämtliche Arbeitsgänge werden stets mit hochgenauer Spurführung per RTK-GPS und Kamerasteuerung durchgeführt.
Die Hacktechnik dient der mechanischen Unkrautbekämpfung in Kombination mit reihenbezogenem Pflanzenschutz, gezielter Düngerapplikation und Saat von Begleitpflanzen zwischen den Reihen. Diese Begleitpflanzen – ohne direkten Kontakt zu Düngung und Pflanzenschutz – leisten einen positiven Beitrag zur phytosanitären Unterstützung der Hauptkultur, zur Bodenfruchtbarkeit und zur Biodiversität. Je nach Kultur und Witterungsverlauf werden diese Begleitpflanzen aktiv im Bestand geführt, um die Ernte der Kulturpflanze sicherzustellen.
In den CRF-Versuchen werden zwei unterschiedliche Intensitäten gegenübergestellt: eine Variante legt den Schwerpunkt auf den Maximalertrag bei geringer Konkurrenz durch Begleitpflanzen. Die zweite Variante wird bei verminderter Intensität des Dünge- und Pflanzenschutzaufwandes die Biodiversität im Fokus haben. Zu den beiden CRF-Varianten werden zwei Intensitätsstufen der üblichen Flächenbewirtschaftung in Vergleich gesetzt.
Standort

Die 10 ha große Versuchsfläche auf dem AMAZONE Versuchsgut Wambergen liegt in unmittelbarer Nachbarschaft des AMAZONE Stammwerkes in Hasbergen-Gaste.
Die sechsgliedrige Fruchtfolge mit Getreide und Mais ist typisch für die Region. Sie wird mit dem Anbau von Raps und Körnerleguminosen sowie einem intensiven Zwischenfruchtanbau nach nachhaltigen Grundsätzen gestaltet. Mit dem gleichzeitigen Anbau von vier Kulturen in vier Varianten auf einer Fläche ist eine gute Basis für den intensiven Austausch mit den Praktikern gelegt.
Partnerschaft
Als traditionsreiches Pflanzenzüchtungsunternehmen ist die Deutsche Saatveredelung AG (DSV) mit Hauptsitz in Lippstadt sehr eng mit der praktischen Landwirtschaft verknüpft. Über vielfältige Zuchtprogramme in den großen Ackerbaukulturen werden kontinuierlich neue Sorten für die internationalen Märkte entwickelt. Hierbei denkt und agiert man fruchtfolgeübergreifend. Im Bereich der Zwischenfrüchte sowie der Bei- und Untersaaten, leistet die DSV Pionierarbeit und gestaltet den Ansatz immergrüner Anbausysteme aktiv mit. Über das eigene Zuchtprogramm im Segment Biodiversität werden neue Sorten für die Fragestellungen von morgen entwickelt. Durch das CRF-Anbausystem ergeben sich sehr vielversprechende neue Möglichkeiten und Perspektiven welche im gemeinsamen Interesse vorangetrieben und weiterentwickelt werden.
Aktuelles
Im Rahmen unseres CRF-Versuches 2024/25 haben wir in der Wintergerste zwei unterschiedliche Sortentypen miteinander verglichen: die Liniensorte DSV Julia und die Hybridsorte SY Loona. Zusätzlich haben wir unterschiedliche Zeitpunkte für die Aussaat von...
Weißklee ist eine interessante Pflanze für die Untersaat im CRF-Verfahren. Das hat unser Anbauversuch 2023/2024 gezeigt. Ergänzend dazu haben wir getestet, ob sich aus der Weißkleeuntersaat eine robuste und schnellwachsende Zwischenfrucht entwickeln lässt.
Aussaat der Begleitsaat im Herbst – welchen Nutzen hat diese für den Weizen? Im Anbaujahr 2023/2024 haben wir im CRF-Verfahren Weizen angebaut. In dem Versuch wurden drei unterschiedliche Begleitpflanzen/Untersaaten getestet, auf einer vierten Teilfläche...
Als zweite Frucht neben Weizen haben wir 2023/2024 im CRF-Verfahren Raps angebaut. Allerdings konnte der Versuch aufgrund eines starken Schädlingsbefalls keine belastbaren Ergebnisse hervorbringen, weshalb wir ihn hier nur kurz zusammenfassen.
Im Rahmen der diesjährigen AMATECHNICA der AMAZONEN-Werke hat der zweite Ackerbaudialog stattgefunden. Zentrales Thema der Veranstaltung war das Ackerbaukonzept Controlled Row Farming (CRF). Zusätzlich wurden Versuche zu den Themen Precision Farming und...
Um das CRF Konzept tiefgehender zu untersuchen, wurde im Anbaujahr 2022 neben dem Demoversuch auf Gut Wambergen zusätzlich ein randomisierter Feldversuch in der Region angelegt. Eine Versuchsanlage mit drei Wiederholungen auf einer ausreichend großen Fläche...
Nachdem wir in den ersten Jahren relativ defensiv mit den Begleitpflanzen umgegangen sind, wollten wir zum Winterweizen 2022/2023 der Biodiversität den Vorrang geben. Die Aussaat von Wildkräutern im CRF-System ohne Herbizidbehandlung im Zwischenbereich war...
Am 19. März 2022 wurde im Controlled Row Farming Versuch auf Gut Wambergen Hafer der Sorte Lion ausgesät. Nach der Ernte finden sich interessante Erkenntnisse über die unterschiedlichen Bekämpfungsstrategien gegen Unkräuter.
Im Anbaujahr 2022 werden drei Sommerungen angebaut: Ackerbohne, Hafer und Körnermais. Die Strukturierung der Parzellen wurde umgestellt und mit einer Pflugfurche eine einheitliche Ausgangssituation geschaffen.
Im Rahmen der Agritechnica wurde erstmalig der Innovationspreis „DLG-Agrifuture Concepts“ für Pionierarbeiten und Zukunftsvisionen in der Landtechnik verliehen. Das Ackerbaukonzept „CRF – Controlled Row Farming“ von Amazone, Agravis Raiffeisen und Schmotzer...
Die Erprobung des Anbauverfahrens Controlled Row Farming findet auf einer Versuchsfläche in unmittelbarer Nähe der AMAZONEN-WERKE in Hasbergen-Gaste statt. Die Versuche haben einen Demonstrationscharakter und werden nach Tastversuchen in 2020/2021 nun in...
Die Wintergerste hat zur Ernte 2021 in allen Versuchsvarianten gleiche Erträge gebracht! Auch die Doppelreihe auf 50 cm Reihenweite mit Untersaat unterscheidet sich nicht von den anderen Varianten.Am 04.10.2020 erfolgte die Aussaat der Wintergerste „KWS...
Neben der praktischen Umsetzung des Controlled Row Farming Anbauverfahrens mit dem Blick auf die pflanzenbaulichen und ökologischen Effekte steht die Frage der Wirtschaftlichkeit im Raum. Wie stehen die erhöhten finanziellen Aufwendungen an Technik, Arbeit...

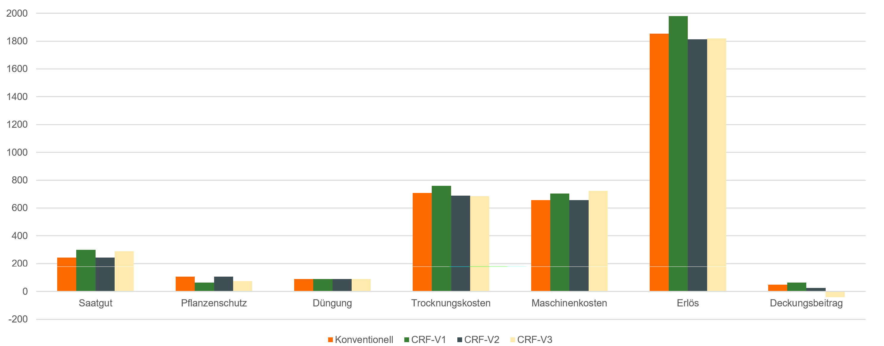
CRF-Versuch Wintergerste 2024/2025
Im Rahmen unseres CRF-Versuches 2024/25 haben wir in der Wintergerste zwei unterschiedliche Sortentypen miteinander verglichen: die Liniensorte DSV Julia und die Hybridsorte SY Loona. Zusätzlich haben wir unterschiedliche Zeitpunkte für die Aussaat von Begleitsaaten getestet. Die Vorfrucht war Winterraps.
Versuchsaufbau
Die Gerste wurde Ende September im Mulchsaatverfahren angebaut. Zur Aussaat wurde eine 6m Avant mit FTender 2200 genutzt. In der konventionellen Variante wurden normale Saatstärken gewählt (270 kfK/m² bei der Sorte Julia und 180 keimfähige Körner/m² bei der Sorte Loona), während bei den CRF-Varianten die Saatstärken um 50% reduziert wurden. Die Aussaattiefe hat drei cm betragen.
In den Varianten CRF V1 und CRF V2 haben wir Begleitsaaten parallel zur Gerstenaussaat gesät. Dabei haben wir in der Variante CRF V1 3kg/ha Spitzwegerich und Weißklee gesät. 10kg/ha Buchweizen wurden in der Variante CRF V2 ausgebracht. In der Variante CRF V3 wurde im Frühjahr 2025 die DSV TerraLife CerealPro mittels Hacke gesät. Aufgrund eines starken Unkrautdruckes im Herbst durch Vogelmiere wurde im Herbst eine Herbizid gegen Dikotyle Unkräuter appliziert, sodass auch die Begleitsaat bekämpft wurden. Daher haben wir im Frühjahr auch in der Variante CRF V2 mittels Hacke 3kg/ha gesät.
Beim Pflanzenschutz (UF1302) wurden die Varianten ohne Begleitsaat zur Aussaat im frühen Nachauflauf mit Mateno + Cadou behandelt. Die Varianten mit den Begleitsaaten wurden zunächst nur gegen Gräser behandelt. Aufgrund eines hohen Unkrautdruckes musste Anfang November eine Maßnahme gefahren werden. Im Frühjahr war eine Nachbehandlung nötig, welche flächig erfolgt ist. Da das gewöhnliche Kreuzkraut nicht ausreichend bekämpft wurde, war eine weitere Nachlage notwendig, welche in den Varianten CRF V2 und CRF V3 als Bandapplikation erfolgt ist.
Die Fungizide und Wachstumsregler wurden über alle Variante dieselbe Strategie gefahren und es wurde flächig appliziert.

Der Versuch wurde mineralisch in flüssiger und granulierter Form gedüngt. Die Düngung ist flächig durchgeführt worden. Zusätzlich wurden Mikronährstoffe wie Mangan, Zink und Magnesium gedüngt.
Beobachtungen im Feld
Der Feldaufgang war in beiden Sorten auf einem ähnlichen – erwartbaren – Niveau. Die Begleitsaaten konnten, trotz einer relativ frühen Getreideaussaat, sich nicht so stark entwickeln, dass sie eine Unkrautunterdrückende Wirkung hatten. Daher war in diesen Varianten ein extrem starker Druck durch Vogelmiere. Die Aussaat der Begleitsaat im Frühjahr war auch eine große Herausforderung. Durch die sehr trockenen Bedingungen von Anfang März bis Ende Mai hatten wir ideale Bedingungen für den Einsatz der Hacke. Jedoch stellen diese Bedingungen gleichzeitig eine Herausforderung für den Feldaufgang der Begleitsaaten dar. Durch die Trockenheit sind nur vereinzelt und in nicht ausreichender Anzahl Pflanzen aufgelaufen.

Abreife und Ertrag
Die Abreife beider Sorten war ziemlich identisch, sodass mit 12,6% bzw. 12,7% Feuchtigkeit der Bestand beerntet werden konnte.

Beim Kornertrag (14 % Kornfeuchte) erreichte Loona in CRF V1 mit 110,1 dt/ha das beste Ergebnis – knapp vor der konventionellen Variante derselben Sorte. Bei Julia war der Ertrag über alle Varianten recht ähnlich – hier lag CRF V2mit 98,6 dt/ha vorn.
Beim Hektolitergewicht waren alle Varianten eng beieinander. Leichte Vorteile zeigte Loona in der CRF-2-Variante. Das bestätigt das Boniturergebnis, dass die Hybridgerste die geringere Aussaatstärke sehr gut kompensieren konnte durch eine stärkere Bestockung. Zusätzlich zeigt sich, dass die Hybridgerste durch die etwas höheren Hektolitergewichte den etwas höheren Ertrag erzielen konnte.

Wirtschaftlichkeit:
Zur Berechnung der Wirtschaftlichkeit haben wir einen Gerstenpreis von 17,50€/dt angenommen. Die Kosten für die Maschinen stammen aus den Datensätzen des Maschinenringes und die Kosten für die Betriebsmittel sind die tatsächlich gezahlten Preise.

Die höchsten Gesamtkosten waren in der Variante CRF V3 zu vermerken, da hier die Saatgutkosten für die vielfältige Begleitsaat am höchsten war. Die etwas höheren Kosten für das Hybridsaatgut spiegeln sich auch in den Gesamtkosten wider, jedoch werden diese leicht höheren Saatgutkosten durch den höheren Ertrag deutlich kompensiert. Die Variante CRF V1 der Sorte SY Loona war mit einem Deckungsbeitrag von 561 €/ha die wirtschaftlich beste Variante. Ebenso war die Variante CRF V1 bei der Sorte Julia mit 374 €/ha die wirtschaftlich beste Variante.
Fazit:
Das Versuchsjahr 2024/2025 hat gezeigt, dass die Sortenwahl einen Einfluss auf die Bestandesentwicklung genommen hat und mit starken Kompensationstypen geringe Aussaatstärken kompensiert werden können. Dies zeigt sich auch im Ertrag, dass die Hybridgerste im Schnitt einen um ca. 8dt/ha höheren Ertrag gebracht hat. Zusätzlich hat das Versuchsjahr gezeigt, dass an der Etablierung und Pflege von Begleitsaaten geforscht werden muss.
Zwischenfruchtversuch Amazone
Von der Untersaat zur Zwischenfrucht: Weißklee im CRF
Weißklee ist eine interessante Pflanze für die Untersaat im CRF-Verfahren. Das hat unser Anbauversuch 2023/2024 gezeigt. Ergänzend dazu haben wir getestet, ob sich aus der Weißkleeuntersaat eine robuste und schnellwachsende Zwischenfrucht entwickeln lässt. Die Ergebnisse sind vielversprechend.

Gemeinsame Aussaat mit dem Weizen
Im Herbst 2023 haben wir in einem Arbeitsgang mit der 6 m Avant mit FTender 2200 und einer 2-fach Förderstrecke mit RoTeC-Kontrollscharen Winterweizen und Weißklee ausgebracht. Die strukturierte Aussaat ermöglichte eine gezielte Ablage der Körner, sodass beide Saatgüter optimale Keimbedingungen hatten.
Die Etablierung der Untersaat verlief zunächst schleppend. Der Feldaufgang war trotz der späten Aussaat Anfang Oktober gut, doch feuchte Witterung und Kälte sorgten für eine langsame Entwicklung. Auch im Frühjahr 2024 hatte sich der Weißklee noch nicht ausreichend etabliert. Mit Beginn der wärmeren Witterung ab Anfang April ist der Klee mit einem guten Wachstum durchgestartet. Nach einem Durchgang mit der Messerwalze im Mai stand er bei der Weizenernte dann gut in der Reihe.
Nach der Ernte: Nur mulchen
Nach der Ernte Anfang August haben wir die Fläche mit der Weißkleeuntersaat einmal gemulcht. Auf den anderen Teilstücken, von denen eines konventionell, die anderen beiden im CRF-Verfahren mit bzw. ohne Untersaat bewirtschaftet wurden, erfolgte die Bodenbearbeitung in zwei Durchgängen, zunächst mit der Kompaktscheibenegge Catros+ 6003 – 2TS , dann mit dem Grubber Cenius 3003 Super.

Zur Aussaat der Zwischenfrucht auf den anderen Flächen Mitte August konnten wir auf der Weißkleefläche bereits einen annähernd vollständigen Bestandsschluss verzeichnen.
Ein Vergleich der Aussaatvarianten drei Wochen später zeigte folgendes Bild:
- In puncto Unterdrückung von Ausfallgetreide und Unkraut hatte der Weißklee eindeutig die Nase vorn. Im Herbst blickten wir auf einen sauberen Kleebestand.
- Bei der Aussaatvariante Drillsaat war ein gleichmäßiger Feldaufgang zu verzeichnen und Ausfallgetreide und Unkräuter wurden gut unterdrückt.
- Schwer taten sich die im Bio-Strip-Till-Verfahren ausgebrachten Zwischenfrüchte, hier war der Feldaufgang zwar sehr gut, im Folgenden allerdings ließ die Unterdrückung des Ausfallgetreides deutlich zu wünschen übrig. Durch die strukturierte Aussaat war die Unterdrückungsleistung in der Leguminosenreihe nicht ausreichend. Hierbei sollten die Pflanzenarten in der Zukunft nochmal überprüft werden.
Stickstoff im Boden
Neben der Bestandsentwicklung hat uns beim Zwischenfruchtversuch die Frage interessiert, ob es Unterschiede in der Nmin-Dynamik der einzelnen Verfahren gibt. Bei der ersten Messung im September 2024 wies der Weißklee im Vergleich zu den anderen Varianten die geringsten Nmin-Werte auf. Die intensive Bodenbearbeitung dürfte in den anderen Varianten die Mineralisierung deutlich angeschoben haben.
Im Dezember wandelte sich das Bild. Während die Nmin-Werte auf der Weißkleefläche konstant blieben, hatten sie bei allen anderen Varianten kräftig abgenommen. Mit seiner hohen Trockenmasse dürfte der Weißklee einiges an N aufgenommen haben, während in den anderen Varianten die Auswaschung – bedingt durch hohe Niederschläge den gesamten Herbst über – sowie die Aufnahme von N durch die Zwischenfrüchte zur Abnahme geführt hat.


Organische Düngung reduzieren

Vor dem Hintergrund der hohen Nmin-Werte stellt sich uns die Frage, ob sich die organische Düngung in der Kleegras-Variante reduzieren lässt. Hierfür werden wir uns die Entwicklung der Nmin-Dynamik im Boden weiter ansehen.
Umbruch vor Maisaussaat
Vor der Maisaussaat im Frühjahr 2025 haben wir die Weißkleefläche mit der Scheibenegge bearbeitet und anschließend einen Arbeitsgang mit dem Pflug durchgeführt. Damit war ein chemiefreier Umbruch des Klees möglich.
Fazit
Aus unserer Sicht ist die Entwicklung der Weißklee-Untersaat zur Zwischenfrucht erfolgreich verlaufen. Durch reichlich Biomasseaufwuchs und schnellen Bestandsschluss konnten sowohl Ausfallgetreide als auch Unkräuter sehr gut unterdrückt werden. Hinzu kommen die geringen N-Verluste bzw. die hohe N-Aufnahme, die den Weißklee von anderen Zwischenfrüchten abheben.
Weitere Vorteile sind die lange Bodenruhe von 18 Monaten, die dem Humusaufbau förderlich ist, sowie der im Vergleich zu den anderen Verfahren geringere Aufwand durch eine Reduzierung der Arbeitsgänge.
Aussaat der Begleitsaat im Herbst – welchen Nutzen hat diese für den Weizen?
Aussaat der Begleitsaat im Herbst – welchen Nutzen hat diese für den Weizen?
Im Anbaujahr 2023/2024 haben wir im CRF-Verfahren Weizen angebaut. In dem Versuch wurden drei unterschiedliche Begleitpflanzen/Untersaaten getestet, auf einer vierten Teilfläche wurde der Weizen zum Vergleich in konventioneller Anbauweise geführt.
Vorab ist zu sagen: Das Anbaujahr hat uns vor große Herausforderungen gestellt, zum einen durch die sehr feuchten Bedingungen zur Aussaat, die eine Etablierung der Begleitpflanzen erschwerten. Zum anderen hatte der Weizen witterungs- und sortenbedingt mit einem starken Braunrostbefall zu kämpfen.
Versuchsaufbau
Nach Durchführung einer konservierenden Bodenbearbeitung haben wir Anfang Oktober mit der 6m Avant mit FTender2200 Weizen der Sorte DSV Debian gesät, mit einer Aussaatstärke von 165 Körnern/qm in den drei CRF-Varianten (Doppelreihe, Reihenweite 50 cm) und von 310 Körnern/qm in der konventionellen Variante bei einer Reihenweite von 12,5 cm.
In der Variante CRF-V1 haben wir zur Saat Weißklee ausgebracht, in der Variante CRF-V2 wurde eine Mischung aus Serradella, Buchweizen (beide abfrierend) sowie Spitzwegerich (winterhart) eingesetzt. Für die Variante CRF-V3 sollte beim Hackgang im Frühjahr die Mischung M2 Plus (dt. Weidelgras, Weißklee, Inkarnatklee, Lieschgras, Hornschotenklee, Spitzwegerich, Phacelia, Öllein und Leindotter) ausgebracht werden, allerdings war der Boden zu feucht.
Beim Pflanzenschutz (UX5201 Super) sah der Maßnahmenplan einzig für das konventionelle Teilstück eine Herbizidmaßnahme im Herbst vor. Im Frühjahr erfolgte auf allen Flächen eine Herbizidmaßnahme gegen Gräser. Bei der konventionellen Variante und in CRF-V3 haben wir zudem eine Herbizidmaßnahme gegen dikotyle Unkräuter durchgeführt.

Die Aussaat bei anschließend feuchter Witterung bescherte den Begleitpflanzen, trotz optimaler Aussaatqualität, in CRF-V1 und CRF-V2 einen schlechten Start. Sie konnten sich kaum etablieren und entsprechend keinen ausreichenden Bestandsschluss erreichen, sodass auch keine Beschattung des Bodens erfolgte.
In der Folge konnten Vogelmiere und einjährige Rispe, die typischen Unkräuter für diesen Standort, im Frühjahr munter weiterwachsen. Aus der Mischung von CRF-V2 schaffte einzig der Spitzwegerich es, sich gut zu entwickeln – das war jedoch für einen positiven Effekt auf die Unkrautentwicklung eindeutig zu wenig.
Aufgrund des hohen Unkrautdrucks waren wir gezwungen, im Frühjahr eine flächige Herbizidmaßnahme in den Varianten CRF-V1 und CRF-V2 zu fahren, hier kam ein Gräserherbizid zur Anwendung, durch das die Gräser in der Begleitsaat nicht ausreichend bekämpft wurden. In den Varianten CRF-V3 und der konventionellen Variante wurde zusätzlich zum Gräserherbizid noch ein Herbizid gegen zweiblättrige Unkräuter eingesetzt.
Düngung auf Reihe erfolgreich
Die Ausbringung des N-Düngers auf die Reihe in den CRF-Varianten zeigte Wirkung, gemäß Messung mit dem Yara-N-Tester wiesen die Pflanzen eine höhere N-Konzentration auf als die Pflanzen auf dem konventionellen Teilstück. Die sich daraus ergebende Düngeempfehlung war um die Hälfte geringer.

Was zeigte sich im Feld: Krankheiten
Während wir im Frühjahr eher Septoria im Bestand fanden, kam es im späteren Verlauf der Vegetationsperiode zu einem starken Braunrostbefall – trotz einer intensiven Fungizidbehandlung. Festzustellen war dabei, dass der Rostbefall in der konventionellen Variante mit 17–18 % befallener Blätter nur halb so hoch war wie bei den CRF-Varianten. Hier dürfte die hohe N-Versorgung der Pflanzen durch die Flüssigdüngerplatzierung auf die Reihe die Krankheitsanfälligkeit beeinflusst haben.
Daraus ergibt sich für uns die Fragestellung: Sollte in CRF-Varianten anders bzw. weniger gedüngt werden? Eine grundsätzliche Reduzierung der Düngergaben gehört zu den Zielen, die wir uns im Controlled Row Farming gesteckt haben. Aktuell wird dieser Punkt im Rahmen einer Masterarbeit und einem Düngungsversuch in Wintergerste weiter untersucht.
Begleitsaat zur Ernte
Der erste Arbeitsgang mit der Messerwalze erfolgte im Mai. Hier zeigte sich insgesamt eine gute Zerkleinerung. Bei den härteren Pflanzen wie Spitzwegerich war das Schnittergebnis besser als bei den weichen Pflanzen wie Klee, wobei auch hier die Zerkleinerung immer noch als ausreichend bezeichnet werden kann.


Zur Ernte standen der Klee und der Spitzwegerich als Begleitsaat schön in der Reihe. Mit einem Hochschnitt auf 20 cm hatten wir keinerlei Probleme beim Mähen des Weizens.

Und der Ertrag?
Die konventionelle Variante lieferte in diesem Anbaujahr eindeutig den höchsten Ertrag. In den vergangenen Jahren konnten die im CRF-Verfahren angebauten Pflanzen die niedrigeren Ährenzahlen durch ein höheres Tausendkorngewicht kompensieren. In diesem Jahr allerdings waren sie bedingt durch den Krankheitsdruck nicht in der Lage, das höhere Nährstoffangebot und das größere Platzangebot zu nutzen.

Bei der Ertragsauswertung lag in diesem Jahr die konventionelle Variante vorn.
Entsprechend lag die konventionelle Variante in puncto Erlös auch deutlich vor den CRF-Varianten und erwirtschaftete als einzige unter den schwierigen Gegebenheiten einen (mageren) Deckungsbeitrag.
Fazit
Für die nächsten Versuche werden wir unser Augenmerk darauf richten, ob in der reihenbezogenen Ausbringung eine Reduzierung der Düngermenge möglich ist und ob alternativ eine andere Aufteilung der Düngergaben positive Effekte hervorbringt. Zudem werden wir prüfen, wie die Pflanzenschutzstrategie an die höhere N-Versorgung der Pflanzen angepasst werden sollte. Die Abschlussgabe mit Schleppschläuchen im höheren Bestand ist nicht optimal, da die Schläuche teilweise über den Bestand gezogen wurden, was zu Verätzungen an den Pflanzen geführt hat.

CRF-Versuch: Raps
Als zweite Frucht neben Weizen haben wir 2023/2024 im CRF-Verfahren Raps angebaut. Allerdings konnte der Versuch aufgrund eines starken Schädlingsbefalls keine belastbaren Ergebnisse hervorbringen, weshalb wir ihn hier nur kurz zusammenfassen.
Versuchsaufbau
Während für die Aussaat der konventionellen Variante die Centaya 3000 Super + KG zum Einsatz kam, haben wir in den CRF-Varianten die Precea 6000-2FCC genutzt. Die Untersaaten wurden in dieser Saison letztmalig separat gesät (Centaya 3000 Super + KG), ab sofort ist dies mit unserer Versuchstechnik in einem Arbeitsgang möglich.
In der Variante CRF-V1 wurden keine Begleitpflanzen gesät. In der CRF-V2 kam begleitend zur Aussaat die Mischung BrassicaPro mit Serradella, Öllein, Ackerbohne, Alexandrinerklee, Perserklee und Ramtillkraut in den Boden, in der CRF-V3 haben wir beim Hackgang im Herbst Serradella und Buchweizen ausgebracht. Ergänzend wurde im Frühjahr Weißklee gesät, witterungsbedingt per Drohne, da ein zweiter Hackgang Mitte/Ende März nicht möglich war.

Die Begleitpflanzen in CRF-V2 profitierten von der frühen Aussaat und konnten sich vor dem Winter gut etablieren. Anders die Mitte Oktober in CRF-V3 ausgebrachten Pflanzen, die sich schlecht bis gar nicht entwickeln konnten bzw. sofort abfroren. Ebenfalls zu wünschen übrig ließ der Klee, von dem nach der Aussaat nicht viel zu sehen war.

Für die Düngemaßnahmen haben wir den UF2002 mit FT1001 und den ZA-V4200 eingesetzt, die Pflanzenschutzmaßnahmen wurden mit der UX5201 Super durchgeführt.
Entwicklung im Feld
Der Raps hatte mit verschiedenen Widrigkeiten zu kämpfen. Durch hohe Niederschlagsmengen nach der Aussaat war die Entwicklung im Herbst deutlich beeinträchtigt. Im Herbst kam es dann zu einem massiven Befall mit dem schwarzen Kohltriebrüssler – trotz einer Insektizidmaßnahme. Ende März waren je nach Variante bis zu 75 % der Pflanzen befallen. Erwähnenswert ist der deutlich geringere Befall in CRF-V2, hier hat sich die Untersaat mit der DSV Terralife BrassicaPro offenbar positiv ausgewirkt – vermutlich haben die Begleitpflanzen die Aufmerksamkeit des schwarzen Kohltriebrüsslers auf sich gezogen und ihn damit vom Raps „abgelenkt“.

Wie durch die Bonitur zu sehen ist, ist der Befall in allen Varianten sehr hoch. Es ist auffällig, dass in der Variante C mit der BRASSICAPRO-Mischung der Befall um bis zu 57% geringer war, als ohne eine Begleitsaat. Dies lässt die Vermutung zu, dass Begleitpflanzen eine ablenkende Wirkung auf den schwarzen Kohltriebrüssler haben und somit den Raps in seiner Entwicklung unterstützen.
Der massiv geschwächte Bestand konnte sich in der Folge nicht gut entwickeln. In CRF-V1 hatten die Pflanzen zudem mit einem extremen Vogelmieredruck zu kämpfen. Das Unkraut hat sich so gut etabliert, dass es den Raps runtergezogen und Tauben und anderen Vögeln ein ideales Landefenster geboten hat.

Weitere Herausforderungen
In der CRF-V2 mussten wir einen deutlich erhöhten Mäusefraß verzeichnen. Es ist zu vermuten, dass die Schadnager durch die Bodenbedeckung mehr Unterschlupf fanden. Als Reaktion wurde Mäusegift ausgelegt. Das zusätzliche Aufstellen von Greifstangen erwies sich als erfolgreich, bereits nach zwei Wochen saßen regelmäßig Greifvögel am Feldrand.
In der Variante CRF-V3 war eine verzögerte Entwicklung zu beobachten, die auf den Hackgang im Herbst zurückzuführen ist, der bei feuchter Witterung durchgeführt wurde und zur Verschlämmung des Bodens geführt hat.
Ernte und Ertrag
Der Ertrag lag mit 25,33 dt/ha im Schnitt der Region. Allerdings haben wir aufgrund der starken Schwächung des Bestandes auf weitergehende Auswertungen verzichtet. Hier bleibt nur zu erwähnen, dass der Kornertrag in CRF-V2 am besten war, während CRF-V1 hohe Ertragsverluste durch Vogelmiere und Taubenfraß hinnehmen musste.
CRF-Fruchtfolge – Was kann eine mögliche Fruchtfolge im CRF-Ackerbausystem sein?
Im Rahmen der diesjährigen AMATECHNICA der AMAZONEN-Werke hat der zweite Ackerbaudialog stattgefunden. Zentrales Thema der Veranstaltung war das Ackerbaukonzept Controlled Row Farming (CRF). Zusätzlich wurden Versuche zu den Themen Precision Farming und einem Aussaatvergleich Direkt- vs. Mulchsaat auf Gut Wambergen präsentiert.
Das Ackerbaukonzept CRF wird als ein spannendes Konzept für mögliche zukünftige Herausforderungen, wie z.B. der Wegfall von Pflanzenschutzmitteln, Erhöhung der Biodiversität oder effizienterer Einsatz von Düngemitteln angesehen. Ein zentraler Baustein für die zukünftige Entwicklung von CRF ist die Fruchtfolge. Daher wurden unterschiedliche Stufen definiert. Das „Basiskonzept“ dient dem Einstieg in das Ackerbaukonzept CRF, wobei die Umsetzung in einzelnen Hauptkulturen mit vorwiegend bestehender Maschinenausstattung vollzogen werden kann. Als Beispiel kann eine erste Integration von Begleitsaaten im Rapsanbau genannt werden. Das „Biodiversitätskonzept“ bedeutet eine Maximierung der Pflanzenvielfalt mit der Akzeptanz von Mindererträgen. Unter den Umständen ist eine Umsetzung nur mit Förderprogrammen realistisch.
Das „Zielkonzept“ bedeutet, dass das gesamte Anbausystem am CRF ausgerichtet ist, sodass die Reihenweiten vereinheitlicht werden, die Düngung auf die Reihe platziert wird oder in möglichst vielen Kulturen Begleitpflanzen gesät werden. Zusätzlich wird die Maschinenausstattung speziell am CRF-System ausgerichtet. Das „Zielkonzept“ hat die wichtige Prämisse, dass dieses Konzept Erträge auf einem hohen und stabilen Niveau ermöglicht. Die Erträge sollen auf dem Niveau des konventionellen Ackerbaues liegen.
Um das Ackerbauverfahren vollständig zu denken, wurden mögliche Fruchtfolgen diskutiert um phytosanitäre, ackerbauliche oder wirtschaftliche Aspekte zu berücksichtigen. Eine mögliche Fruchtfolge für das Zielkonzept wird im Folgenden vorgestellt.

Ausgehend vom Raps, welcher mit einer Begleitsaat wie z.B. der TERRALIFE BRASSICA Pro angebaut wird, folgt die Wintergerste. Die Begleitsaatmischung hat den Vorteil, dass der Boden zwischen der Einzelkornsaat bedeckt wird und eine Ablenkung von Schadinsekten wie den schwarzen Kohltriebrüssler beobachtet werden konnte. Die anschließende Wintergerste wird in die Rapsstoppeln gesät, damit der positive Effekt der Vorfrucht möglichst optimal ausgenutzt werden kann. Zusätzlich hat die Wintergerste ein höheres N-Aufnahmevermögen im Herbst als Winterweizen. Im folgenden Frühjahr wird ein Mais angebaut, welcher nach einer Zwischenfrucht steht, welche strukturiert angebaut wird. Die Strukturierte Zwischenfrucht ermöglicht, dass in der späteren Maisreihe Leguminosen angebaut werden können und in dieser Reihe eine höhere N-Konzentration im Boden festgestellt werden kann. Dies ermöglicht, dass der Mais im Frühjahr mit weniger Nährstoffen versorgt werden muss. Zur Steigerung der N-Effizienz kann der Mais, wenn es die Bodenbedingungen zulassen, im Gülle-Strip-Till-Verfahren angebaut werden. Um eine ausreichende Begrünung über den Winter nach der Maisernte zu erzielen, wird im Mais eine Untersaat gesät, die es ermöglicht, dass im darauffolgenden Frühjahr eine weiße Lupine in Direktsaat angebaut werden kann. Mittels Mulch- oder Direktsaat wird im Herbst nach der Ernte der Weißen Lupine Winterweizen angebaut. Der Weizen kann die Vorfruchtwirkung, wie der guten Durchwurzelung und dem Nährstoffangebot der weißen Lupine sehr gut nutzen. Das letzte Fruchtfolgeglied ist der Hafer als Gesundungskultur und die einzige Kultur in der Fruchtfolge die ganzflächig ausgesät wird. Hintergrund für die ganzflächige Aussaat ist, dass so z.B. mögliche Bodenunebenheiten ausgeglichen werden können oder auch die Bekämpfung von Unkräutern und Ungräser gezielt erledigt werden kann.
Bis auf den Hafer als letztes Fruchtfolgeglied werden alle Kulturen im CRF-System mit einer Reihenweite von 50cm angebaut. Ausnahme ist der Getreideanbau, welcher in einer Doppelreihe stattfindet. Zusätzlich stellt sich die Frage, ob alle Maßnahme an der Reihe ausgelegt werden sollten oder ob zum Beispiel Pflanzenschutzmaßnahmen wie z.B. eine Gräserbehandlung flächig durchgeführt werden sollten, um mögliche Resistenzen vorzubeugen. Positive Erfahrung konnten wir z.B. mit einer Reihenbezogenen N-Düngung im Weizen festellen, da eine höhere N-Aufnahme bonitiert werden konnte. Dazu werden später nochmal weitere Ergebnisse vorgestellt. Ein weiterer zu untersuchender Aspekt ist der intensive Anbau von Leguminosen als Hauptkultur, aber auch als Bestandteil von Unter- und Begleitsaat sowie von Zwischenfrüchten.
Wenn über weitere Fruchtfolgeglieder wie Zuckerrüben oder Kartoffeln nachgedacht wird, muss die Fruchtfolge natürlich neu gedacht werden bzw. stellt sich auch die Frage, ob und wie diese Kulturen in eine CRF-Fruchtfolge integriert werden können.
Grundsätzliches Ziel des CRF-Anbausystems muss sein, dass es sich durch hohe Erträge und geringere Kosten für Betriebsmittel finanziell selbstträgt und somit der Ackerbau durch ein gesundes und vitales Bodenleben gegenüber Witterungseffekten resilienter wird. Daher wird das „Zielkonzept“ in Zukunft weiterverfolgt.
Anbaujahr 2022 – Auch die Ackerbohne ist anpassungsfähig
Um das CRF Konzept tiefgehender zu untersuchen, wurde im Anbaujahr 2022 neben dem Demoversuch auf Gut Wambergen zusätzlich ein randomisierter Feldversuch in der Region angelegt. Eine Versuchsanlage mit drei Wiederholungen auf einer ausreichend großen Fläche sollte im Detail klären, wie sich die Ackerbohne im CRF System verhält. Der Versuch wurde im Rahmen einer Masterarbeit der Fachhochschule Soest durchgeführt.
Am 20.03.22 erfolgte die Aussaat der Ackerbohne „Tiffany“. Die Aussaatstärke in der konventionellen Variante lag bei 40 keimfähigen Körnern/m² und einer Reihenweite von 12,5 cm. Der theoretische Kornlängsabstand beträgt 20 cm. In der modernen Variante wurden bei doppelter Reihenweite (25 cm) nur 30 K/m² ausgesät. Der theoretische Kornlängsabstand liegt hier bei 13,3 cm. Diese beiden Varianten wurden mit einer standardmäßigen Amazone Drillkombination“ Centaya 3000 Super“ ausgesät.
Die beiden CRF-Varianten mit einem Reihenabstand von 50 cm wurden mit der Einzelkorntechnologie der „Precea“ gesät. In den CRF-Varianten wurden ebenfalls 30 K/m² ausgesät, bei einem theoretischen Kornlängsabstand von 6,7 cm.


Ackerbohne in der Variante Standard 12,5 cm (BBCH 28 am 12.05.2022)
Aufgrund schlechter Befahrbarkeit und anhaltender Niederschläge im März konnte keine chemische Unkrautbekämpfung im Vorauflauf stattfinden. Anstelle dessen wurde alternativ eine rein mechanische Unkrautbekämpfung gewählt. Es erfolgten zwischen BBCH 13 und 20 in allen vier Varianten jeweils drei Maßnahmen mit einem Striegel. Diese wurden im Abstand von ca. 9 Tagen durchgeführt.
In den beiden CRF Varianten konnte aufgrund des 50 cm Reihenabstandes zusätzlich mit der Hacke gearbeitet werden. Dies wurde im BBCH 28 durchgeführt. In der Variante CRF-Reduziert wurde bei der Überfahrt gleichzeitig die Untersaat zwischen den Reihen der Ackerbohne ausgesät. Auf weitere Pflanzenschutzmaßnahmen konnte aufgrund der warmen und trockenen Witterungsbedingungen in den folgenden Wochen verzichtet werden. So kamen alle vier Versuchsvarianten komplett ohne chemischen Pflanzenschutz aus!
Die folgende Bestandsführung beschränkte sich auf eine einmalige Applikation von Mikronährstoffen in Kombination mit einem Wirkstoff zum Schutz vor Schadinsekten. Die Anwendung erfolgte einheitlich über alle Varianten.

Am 12.05.22 wurde in der Variante CRF reduziert gleichzeitig mit der Bearbeitung der Hacke die Untersaat etabliert. Es wurden 18 kg/ha Perserklee zwischen die Reihen der Ackerbohne ausgebracht.
Der Perserklee hat sich gut im Bestand etabliert, wurde dann aber aufgrund zunehmender Trockenheit und Beschattung durch die Bohnen in der Entwicklung gebremst.
Entwicklung des Perserklees vier Wochen nach der Aussaat (10.06.22)

In der weiteren Bestandsentwicklung zeigten Feldaufgang und Wuchshöhe keine Unterschiede in den Varianten. Die unterschiedlichen Standraumverteilungen, bedingt durch die unterschiedlichen Varianten, spiegeln sich bei der Bonitur der Hülsen pro Pflanze.
Die nachfolgende Grafik zeigt die Anzahl der ausgebildeten Hülsen pro Pflanze. Es ist deutlich zu erkennen, dass die Varianten mit reduzierter Aussaatstärke und größeren Reihenabständen stärker bestockt und mehr Hülsen ausgebildet haben.


Die Ackerbohnen wurden am 31.07.22 geerntet. Die einzelnen Wiederholungen wurden durch einen Kerndrusch beerntet und verwogen. Ein durchschnittlicher Ertrag von etwa 30 dt/ha der Varianten war für die Region, in einem sehr trockenen Jahr, leicht unterdurchschnittlich.

Insgesamt fallen die Erträge sehr ähnlich aus. Zwar hat die Standard-Variante mit 31,6 dt/ha den höchsten Ertrag, jedoch liegt bei einer Grenzdifferenz von 4,4 dt/ha kein signifikanter Ertragsunterschied vor.
Ergänzend zu den Ergebnissen aus dem Feld wurden von jeder Variante Proben im Labor untersucht. Die Tausendkornmasse lag relativ gleichmäßig bei 480 bis 490 g. Der Rohproteingehalt Proben lag in allen Versuchsvarianten mit 27,7 bis 27,9 % auch sehr eng beieinander. Auch wenn die Werte nicht statistisch überprüft sind, können wir von gleichmäßigen Qualitäten sprechen. Die gleichmäßigen Erträge im Feldversuch lassen vermuten, dass die geringeren Aussaatstärken ihre Erträge durch eine erhöhte Anzahl an Hülsen pro Pflanze kompensierten.
Die Untersaat des Perserklees in der Variante CRF-Reduziert hatte keinen negativen Einfluss auf den Ertrag. Die Konkurrenzkraft des erst später gesäten Klees in Verbindung mit der sehr trockenen Witterung war wie zu erwarten gering.

Biodiversität den Vorrang geben – wieviel Ertrag hat es gekostet?
Nachdem wir in den ersten Jahren relativ defensiv mit den Begleitpflanzen umgegangen sind, wollten wir zum Winterweizen 2022/2023 der Biodiversität den Vorrang geben. Die Aussaat von Wildkräutern im CRF-System ohne Herbizidbehandlung im Zwischenbereich war ein Plus für die Natur, aber eine Herausforderung aus Sicht des klassischen Ackerbauern.
Am 12. Oktober 2022 wurde Winterweizen der Sorte Chevignon mit der Kreiselgrubber-Säkombination Centaya mit RoTeC-Scharen ausgesät.
Dabei wurden die bereits bekannten Varianten der letzten Jahre gewählt:
- Konventionell (A) mit 12,5 cm Reihenabstand und 330 kfK/m2 – mit üblicher Flächenspritzung
- Modern (B) mit 25 cm Reihenabstand und 165 kfK/m2 – mit üblicher Flächenspritzung
- CRF reduziert (C) mit 2 x 12,5 cm auf 50 cm Abstand zur nächsten Doppelreihe und 165 kfK/m2 – mit Begleitsaat und Bandspritzung
- CRF optimiert (D) mit 2 x 12,5 cm auf 50 cm Abstand zur Doppelreihe und 165 kfK/m2 – mit üblicher Flächenspritzung
Durch die zwei Saatguttanks und die beiden Verteilerköpfe war es möglich bei Variante C (CRF reduziert) zwischen die zwei Doppelreihen Weizen gleichzeitig eine Naturschutzmischung in Doppelreihe auszusähen (Saatstärke: 10 kg/ha). Bei dieser Begleitsaat handelte es sich um eine blühende Wildpflanzenmischung mit 21 verschiedenen Komponenten wie z.B. Kornblume (Centaurea cyanus), Spitzwegerich (Plantago lanceolata) oder Rotklee (Trifolium pratense) von der Rieger-Hofmann GmbH.
Im kühlen und nassen Herbst etablierte sich die ausgebrachte Begleitsaat sehr langsam. Dafür kamen einige unerwünschte Beikräuter im Weizenbestand zum Vorschein. Deshalb erfolgte am 02. Dezember die erste Herbizidmaßnahme mit 30 g/ha Pointer SX und 3 l/ha Boxer. Während bei den Varianten A, B und D die Applikation flächig erfolgte, wurde in Variante C die Pflanzenschutzmaßnahme als Bandspritzung durchgeführt. Bei einer Bandbreite von 20 cm konnten wir so 60 % der Herbizidmenge einsparen.
Damit sich der Weizen im Frühjahr ungestört entwickeln konnte, wurden am 18. März mit 0,2 l/ha Husar Plus und am 25. April mit 50 g/ha Potacur SX weitere Herbizidmaßnahmen durchgeführt. In Variante C blieb die sich sehr gut entwickelnde Wildpflanzenmischung durch die Bandapplikation von den Herbiziden unberührt.
Die Wuchshöhe der Begleitsaaten erreichten Mitte Mai das Niveau des Winterweizens. Kornblumen waren recht dominant vertreten, die eigentlich harmlose Vogelmiere wuchs kräftig auch in den Weizen. Insgesamt traten in der biodiversen Variante 14 Pflanzenarten auf, davon 6 die im Herbst ausgesät wurden. In der konventionellen Variante fand sich mit der Jährigen Rispe nur eine Pflanzenart. Im Rahmen einer Bachelorarbeit zur Vegetationsökologie (Frau Prof. Kathrin Kiehl, HS Osnabrück) wurde insgesamt ein sehr positives Fazit für die Biodiversität gezogen.
Zur Sicherung der Ernte, wurde am 16. Mai in BBCH 37 eine Messerwalze im Frontanbau eingesetzt. Die SCHMOTZER Messerwalze wurde für das Forschungsprojekt Renuwi (Förderung durch die Bundesstiftung Umwelt) entwickelt und für diesen Einsatz ausgeliehen. Bei einer Fahrtgeschwindigkeit von 10 km/h sorgte die doppelte Messerwalze für ein sehr gute Zerkleinerung der Wildpflanzen und nur eine geringe Schädigung des Weizens.


Mit einer guten Bodenbedeckung sorgte das abgestorbene Pflanzenmaterial in der nachfolgenden Trockenperiode für den Erhalt der Bodenfeuchtigkeit.

Während der Blüte und der Kornfüllungsphase entwickelte sich der Weizenbestand hervorragend und die Begleitsaaten waren kaum wahrnehmbar. Von Ende Juni bis Anfang August kam es zu einer langen Regenperiode, sodass die regulierten Kräuter sich erneut etablierten.

Trotz der teils sogar wieder blühenden Begleitsaat (Klatschmohn, Rote Lichtnelke, Kornblume) war am 20. August die Mähdruschernte mit einer Stoppelhöhe von ca. 10 cm problemlos möglich.
Während bei Variante A (Konventionell) ein sehr guter Ertrag von 94 dt/ha erzielt werden konnte, lag der Ertrag in Variante C (CRF reduziert) um 25 % niedriger bei 70 dt/ha. Der Kornertrag von Variante D (CRF optimiert) lag mit 82 dt/ha auf einem ähnlichen Niveau wie der Ertrag von Variante B (Modern) mit 86 dt/ha.
Da der Versuch als reine Blockanlage ohne Wiederholung angelegt wurde, sind die Ergebnisse statistisch nicht abgesichert. Der deutliche Ertragsverlust in der Variante C ist aber ein guter Indikator, womit zu rechnen ist, wenn der Biodiversität Raum gegeben wird.
SCHMOTZER Messerwalze im Einsatz
Unkrautmanagement im Hafer – klare Erkenntnisse
Am 19. März 2022 wurde im Controlled Row Farming Versuch auf Gut Wambergen Hafer der Sorte Lion ausgesät. Nach der Ernte finden sich interessante Erkenntnisse über die unterschiedlichen Bekämpfungsstrategien gegen Unkräuter.
Das Anbausystem folgt dem gleichen Prinzip der letzten Jahre:
- Standard (A) mit 12,5 cm Reihenabstand und 300 Kö/qm – mit üblicher Flächenspritzung
- Modern (B) mit 25 cm Reihenabstand und 200 Kö/qm – mit üblicher Flächenspritzung
- CRF reduziert (C) mit 2 x 12,5 cm auf 50 cm Abstand der Doppelreihe und 200 Kö/qm – mit Hacke, Untersaat und Bandspritzung
- CRF optimiert (D) mit 2 x 12,5 cm auf 50 cm Abstand der Doppelreihe und 200 Kö/qm – mit üblicher Flächenspritzung
Nach der regional üblichen Strategie wurde zur Unkrautkontrolle 50 g/ha Pointer Plus und 1 l/ha U46M am 28. April in allen Varianten angewendet. In Variante A, B und D erfolgte die Anwendung ganzflächig. Die identische Aufwandmenge pro Hektar ist in Variante C als Bandspritzung appliziert worden. Bei einer Bandbreite von 20 cm haben wir 60 % Herbizid gespart.
Flächiger Pflanzenschutz im Hafer in Variante „Standard (A) am 28. April 2022
UX 5200 Super mit Super-L Gestänge 27 Meter
Zum gleichen Termin wurden in einem Arbeitsgang gehackt, auf der Doppelreihe im Band Herbizid gespritzt und 18 kg/ha Rotklee im Zwischenbereich von 30 cm ausgebracht.
Am 15. Mai erfolgte zusätzlich eine Applikation von Fungizid und Wachstumsregler. Diese Anwendung wurde im Versuch nicht variiert.
Aufgrund der Trockenheit nach dem Hackvorgang war der Feldaufgang verzögert und die Konkurrenzkraft des Hafers stark. Die Förderung der Biodiversität in der Hauptwachstumsphase ist in dieser Sommerung nicht gut gelungen.

Umso interessanter ist das Erscheinungsbild der Versuchsvarianten nach der Ernte. Der Hafer wurde am 25. Juli mit Erträgen um die 70 dt/ha gedroschen.
Auffällig nach der Ernte ist das vermehrte Aufkommen der Jährigen Rispe (Poa annua) in einigen Varianten. Die Jährige Rispe ist auf diesem Standort ein Problemunkraut und wird vom verwendeten Herbizid nicht vollständig bekämpft.
In der betriebsüblichen Variante „Standard“ zeigt sich eine sehr geringe Restverunkrautung. Wie bekannt unterdrückt der Hafer bei engen Reihenabständen die Unkräuter sehr gut.

In Variante B mit 25 cm Reihenabstand ist der Besatz an jähriger Rispe bekämpfungswürdig. Bei gleicher Herbizidanwendung kann vermutet werden, dass der größere und länger andauernde Lichteinfall das Wachstum der Rispen begünstigt hat. Eine flache Bodenbearbeitung oder ein Totalherbizid nach der Ernte wäre angebracht um die Verbreitung der Rispe zu verhindern.

In Variante C hat sich der Rotklee erstaunlich gut etabliert. Es ist anzunehmen, dass er ausreichend gekeimt war und sich zunächst unter dem Hafer nur sehr verhalten entwickelt hat. Ein Starkniederschlag mit 38 mm kurz vor der Ernte am 21. Juli hat dann sicherlich geholfen das zunehmende Licht im abreifenden Bestand zu nutzen.

In Variante C mit Doppelreihe auf 50 cm und 12,5 cm Reihenabstand werden die Vorteile einer kombinierten Bekämpfungsstrategie sichtbar. Im Arbeitsbereich der Hacke findet sich ausschließlich Rotklee und keine Jährige Rispe. Sicherlich ist die Rispe zeitgleich mit dem Hafer aufgelaufen und hätte sich wie in Variante B oder D ausgebreitet. Der Einsatz der Hacke am 28. April war dann ideal um die Jährige Rispe zu beseitigen. Der Rotklee hat sich etabliert und der enge Reihenabstand in der Doppelreihe in Kombination mit dem Herbizid in der Bandapplikation hat die Rispe sehr gut unterdrückt. Vereinzelt sieht man noch die Jährige Rispe im Übergangsbereich von Hacke und Bandspritze. Mit dem starken Lichteinfall am Rand der Doppelreihe wurde die Rispe offensichtlich gefördert. Das Hackschar hat dann einige Pflanzen nah an der Reihe nicht erfassen können.
Die Jährige Rispe bleibt nach der Ernte in Variante C unterhalb der Bekämpfungsschwelle. Die Unkrautkontrolle ist bei 60% reduziertem Herbizideinsatz sehr gut gelungen.

Haferstoppel mit 50 cm Doppelreihe nach Hacke und Rotklee Untersaat (C) am 28. August 2022
Grüne Linien: Stoppel der Doppelreihe Hafer
Rote Pflanzen: Jährige Rispe
In der Doppelreihe ohne den Einsatz der Hacke zeigt sich die gleiche Problematik wie in der Variante B mit 25cm Reihenabstand. Die Rispe konnte sich etablieren und sollte im Sinne der Feldhygiene umgehend beseitigt werden.

Der Witterungsverlauf zeigt einen relativ gut verteilten Niederschlag. Die gute Feldkapazität des Bodens hat dem Hafer immer ausreichend Feuchte zur Verfügung gestellt und gute Erträge von 70 dt/ha gebracht.

Anbauplanung 2022
Im Anbaujahr 2022 werden drei Sommerungen angebaut: Ackerbohne, Hafer und Körnermais. Die Strukturierung der Parzellen wurde umgestellt und mit einer Pflugfurche eine einheitliche Ausgangssituation geschaffen.

Abbildung: Lage der Versuche im Schlag „Meyer zu Wambergen“
Die Aussaat von Ackerbohne und Hafer in der Standardvariante erfolgt mit einer Centaya Säkombination mit 12,5 cm Reihenweite. In der modernen Variante wird die Reihenweite auf 25 cm verdoppelt. In Hafer und Ackerbohne wird die Aussaatstärke um 1/3 reduziert um die Kornlängsabstände in der Reihe nicht zu eng zu haben. Da der Mais als Einzelpflanze nicht bestocken und damit kompensieren kann, wird die Saatstärke nicht variiert.Die um 1/3 reduzierten Saatstärken werden auch in den beiden CRF Varianten eingesetzt. Lediglich die Verteilung in der Fläche gestaltet sich unterschiedlich, da im CRF-System zwei Reihen geschlossen werden und dann eine Doppelreihe mit 12,5 cm gesät wird. Im Wintergetreide haben wir in den letzten Jahren die Saatstärke in der modernen Variante und in den CRF Varianten um 50% reduziert – mit gutem Erfolg (siehe Wintergerste 2021). Im Hafer werden auch die CRF Varianten mit der Säkombination als Doppelreihen gesät. Dies wäre mit den Ackerbohnen auch möglich. Interessanter erschien uns die Saat mit der Einzelkornsämaschine auf 50 cm Reihenweite. Bei gleicher Saatstärke gegenüber der modernen Variante werden wir sehen wie sich die Bestände entwickeln.Als Begleitsaat im Hafer haben wir uns in der reduzierten CRF Variante für den Rotklee entschieden. In Kombination mit der Bandspritzung wird der Rotklee möglichst früh ausgebracht. Er ist wüchsig und soll sich intensiv etablieren. Eine mechanische Reduzierung mit einer reihenbezogenen Walze wird möglich sein wenn er die Abreife des Hafers gefährdet.

In den Ackerbohnen wird die Vorauflaufspritzung im Band appliziert. Im ersten Hackdurchgang wird Perserklee ausgebracht der als niedrigwachsende Kultur die Ackerbohne bis zur Ernte nicht zu sehr stören sollte. In der optimierten CRF Variante erfolgt eine ganzflächige reduzierte Pflanzenschutzanwendung die der Ackerbohne einen Vorsprung geben soll. Um die Konkurrenz der Unkräuter zu unterdrücken wird die Hacke potentiell zweimal angewendet.

Der Körnermais wird in der Standardvariante und in der modernen Variante auf 75 cm mit der Precea Einzelkornsämaschine gesät. In den beiden CRF Varianten erfolgt die Saat auf 50 cm.In der modernen Variante wird die Herbizidmaßnahme mit einer reduzierten Menge Bodenherbizid gefahren um eine Untersaat zu ermöglichen. Da winterhartes Weidelgras in der Fruchtfolge problematisch werden könnte, wurde Rauhafer als abfrierende Untersaat ausgewählt. Die Untersaat erhöht die Biodiversität und verbessert die Befahrbarkeit in der Ernte. Über den Winter bildet die Strohdecke einen guten Schutz vor Erosion.In der CRF reduzierten Variante wird die volle Herbizdmischung wie in der konventionellen Variante angewandt, aber im Band appliziert. Interessant wird sein, ob sich die Rauhafer Untersaat in dem herbizidfreien Zwischenbereich besser entwickelt als in der modernen Variante.In der CRF optimierten Variante wird eine ganzflächige, etwas schwächere Herbizidmischung gefahren um dem Mais einen Vorsprung zu geben. Je nach Witterungsverlauf erfolgen zusätzlich 1-2 Durchgänge mit der Hacke.


DLG-Agrifuture Concept Winner 2022
Im Rahmen der Agritechnica wurde erstmalig der Innovationspreis „DLG-Agrifuture Concepts“ für Pionierarbeiten und Zukunftsvisionen in der Landtechnik verliehen. Das Ackerbaukonzept „CRF – Controlled Row Farming“ von Amazone, Agravis Raiffeisen und Schmotzer Hacktechnik wurde aus einer Shortlist von zehn nominierten Innovationen als einer der Sieger gewählt. Die von der DLG berufene Jury aus unabhängigen internationalen Experten würdigte damit das neue Ackerbauverfahren zur Förderung der Biodiversität durch die Bewirtschaftung mit einheitlichen Reihenweiten.
Mit der neuen Auszeichnung unterstützt die DLG wegweisende Konzepte für die Zukunft der globalen Pflanzenproduktion. Die Preisverleihung erfolgte am 15. Februar 2022 im Rahmen einer Online-Veranstaltung.
Link zur Pressemitteilung der DLG: https://www.dlg.org/de/landwirtschaft/presse/aktuell#!/news/dlg-agrifuture-concept-winner-2022-die-preistraeger-fuer-den-neuen-zukunftspreis-agrartechnik
Link zur Agritechnica Website: https://www.agritechnica.com/de/agrifuture-concept-winner/gewinner-2022

Feldversuche auf Gut Wambergen
Die Erprobung des Anbauverfahrens Controlled Row Farming findet auf einer Versuchsfläche in unmittelbarer Nähe der AMAZONEN-WERKE in Hasbergen-Gaste statt.
Die Versuche haben einen Demonstrationscharakter und werden nach Tastversuchen in 2020/2021 nun in einer Struktur aufgebaut die langfristig Bestand haben kann. Das Versuchsdesign ist abgestimmt auf das 27 Meter Fahrgassensystem des Partnerbetriebes der die Flächen in Wambergen bewirtschaftet.
Um den Versuch für Besucher attraktiv zu gestalten werden auf der 3 ha großen Versuchsfläche innerhalb eines 10 ha Schlages jedes Jahr drei Kulturen angebaut. Jede Kultur verfügt über vier Varianten mit je 12 Meter Breite die es ermöglichen Bonituren in der Länge von ca. 150 Meter zu wiederholen und mittels Kerndrusch Ernteerträge zu erfassen. Die 12 Meter breiten Parzellen erlauben Arbeitsbreiten von drei und sechs Meter für die Saat und die Pflege.

Die vier Versuchsvarianten Standard (A), Modern (B), CRF-reduziert (C)und CRF-optimiert (D) sind in Form einer einfachen Streifenanlage angelegt. Eine Randomisierung ist in der Anordnung mit Serientechnik an diesem Standort nicht möglich.
Standard: Mit dieser Versuchsvariante wird der konventionelle, klassische Anbau demonstriert wie er in der Region üblich ist. Es entsteht eine realistische Möglichkeit die verschiedenen Versuchsvarianten an dieser konventionellen Variante zu messen oder zu vergleichen.
Modern: Die „moderne Variante“ wird in üblicher Flächenbewirtschaftung bewirtschaftet und um aktuelle und innovative Pflanzenbaumaßnahmen erweitert. Dies können alternative Reihenweiten und Saatstärken, Untersaaten oder alternative Strategien im Pflanzenschutz sein.
CRF-reduziert: Das Ziel der CRF-reduzierten Variante liegt darin, die Begleitpflanzen in den Vordergrund zu stellen und bei reduziertem Einsatz der Betriebsmittel die Biodiversität besonders zu fördern. Je nach Kultur wird in Einzel- oder Doppelreihen der Reihenabstand von 50 cm etabliert. Die Begleitpflanzen im Zwischenbereich sollen sich frühzeitig und intensiv ausbilden. Je nach Kultur und Jahreswitterung besteht die Möglichkeit die Begleitpflanzen reihenbezogen mechanisch zu reduzieren um die Abreife und die Druschfähigkeit der Hauptkultur nicht zu gefährden.
CRF-optimiert: Die CRF-optimierte Variante verfolgt das Ziel, die Erträge bei optimiertem Betriebsmittelaufwand stabil zu halten. Durch die identische Aussaat wie in der CRF-reduzierten Variante mit einem Reihenabstand von 50 cm, können die Betriebsmittel ausschließlich in der Reihe appliziert werden.
Aussaat, mechanische Pflegemaßnahmen und die Bandspritzung werden mit 6 Meter Arbeitsreite mit RTK-gelenkten Traktoren durchgeführt. Da wir im konventionellen System nicht „auf den letzten Zentimeter“ an der Reihe hacken müssen, ist eine Sätechnik mit 3 Meter und eine Hacktechnik mit 6 Meter Arbeitsbreite möglich.
Für den ganzflächigen Pflanzenschutz fährt die betriebsübliche 27 Meter Feldspritze auf den 3 Meter Grasstreifen außerhalb der eigentlichen Versuchsanlage. Die Maschine kann durch Abschaltung der Teilbreiten parzellenscharf unterschiedliche Anwendungen fahren. Eine Nutzung von reihenbezogener Düsentechnik oder Schleppschlauchsystemen für die Flüssigdüngung ist im 50cm CRF-System ebenfalls möglich.
Die Düngung einer vollständigen Parzelle mit granulierter Ware kann mit dem Zweischeiben Düngerstreuer auch über die seitlichen Grasstreifen erfolgen. Mit dem neuen Grenzstreusystem Border-TS wird eine sehr gute Querverteilung innerhalb der 27 Meter erreicht. Der Einsatz eines Pneumatikstreuers wie er in Feldversuchen oft verwendet wird, ist nicht notwendig.
Die Grasstreifen haben den Vorteil der ganzjährig guten Befahrbarkeit und auch der einfachen Zugänglichkeit bei Feldrundgängen.
Anbaujahr 2020/2021 – Wintergerste

Die Wintergerste hat zur Ernte 2021 in allen Versuchsvarianten gleiche Erträge gebracht! Auch die Doppelreihe auf 50 cm Reihenweite mit Untersaat unterscheidet sich nicht von den anderen Varianten.Am 04.10.2020 erfolgte die Aussaat der Wintergerste „KWS Wallace“. Die Aussaatstäke in der konventionellen Variante lag bei 310 keimfähigen Körnern / qm, bei 12,5 cm Reihenweite. Der theoretische Kornlängsabstand betrug 2,58 cm. In der modernen Variante wurde bei gleicher Reihenweite nur die Saatstärke halbiert. 155 Kö/qm ergeben einen theoretischen Kornlängsabstand von 5,16 cm.Die beiden CRF-Varianten wurden identisch angelegt: immer zwei Reihen im Abstand von 12,5 cm und dann zwei Reihen geschlossen, um bei 50 cm Abstand der Doppelreihe der Begleitkultur Raum zu geben. Die theoretischen Kornlängsabstände betragen 2,58 cm und sind identisch mit der konventionellen Variante. Zur Unkrautbekämpfung wurde am 04.11. in allen Varianten ganzflächig eine Herbizidmaßnahme durchgeführt. Der Einsatz einer Hacke war aufgrund regelmäßiger Niederschläge im Oktober unmöglich. Die Alternative einer Bandspritzung im Herbst mit einem ersten Hackdurchgang im frühen Frühjahr erschien uns bei einem sehr hohen Unkrautdruck sehr risikoreich. Zum Glück haben wir im CRF Projekt die Flexibilität und können mit ganzflächigen Applikationen besondere Herausforderungen lösen. Die Anlage der Untersaat zur oder kurz nach der Saat der Hauptkultur werden wir in Zukunft erproben.
Die weitere Bestandsführung mit Düngung und Pflanzenschutz erfolgte einheitlich über alle Varianten. Details sind in der folgenden Grafik zu finden.

Am 04.04.2021 erfolgt in der Variante „CRF reduziert“ eine Hackmaßnahme mit der Aussaat von Alexandriner Klee. In der Konkurrenz zur Gerste und in einem sehr kalten Frühjahr hat der Klee sich zunächst relativ langsam entwickelt. Auch wenn es vor der Ernte relativ gut aussah, ist der Effekt im Hinblick auf eine Förderung der Biodiversität relativ gering. Im kommenden Jahr wollen wir die Begleitpflanzen noch offensiver fördern.


Bei Betrachtung der Kennzahlen lassen sich folgende Schlüsse ziehen: Die Feldaufgänge lagen zwischen 92 % und 105 % (*) auf einem sehr hohem und vergleichbaren Niveau.

* Sehr gute Keimfähigkeit und Ungenauigkeiten in der Dosierung bzw. Längs- und Querverteilung können zu Messwerten > 100% führen. In der Bestandsdichte ist der Unterschied deutlicher. Bei hoher Saatstärke bilden sich fast 400 Ähren / qm. Die Bestockungszahl liegt bei 1,3 (jede Pflanze bildet im Schnitt 1,3 Ähren). Bei den geringen Saatstärken von 155 K/qm sind die Bestandsdichte n bis zu 25% geringer. Die Wintergerste hat aber im Durchschnitt mehr als zwei Ähren pro Pflanze ausgebildet.


Die Ernte der Wintergerste erfolgte am 24. Juli. Jede Variante wurde im ganzen Block gedroschen und verwogen. Der Ertrag von 78 dt/ha ist für den Standort und die Region durchschnittlich. Die Unterschiede zwischen den Varianten sind so gering, dass man von einheitlichen Erträgen in allen Varianten sprechen kann.
Die geringere Ährenzahl wurde offensichtlich durch eine stärkere Kornausbildung kompensiert.


Ökonomische Betrachtung des Controlled Row Farming Anbausystems
Neben der praktischen Umsetzung des Controlled Row Farming Anbauverfahrens mit dem Blick auf die pflanzenbaulichen und ökologischen Effekte steht die Frage der Wirtschaftlichkeit im Raum. Wie stehen die erhöhten finanziellen Aufwendungen an Technik, Arbeit und Zeit für das alternative Ackerbauverfahren im Verhältnis zu den Einsparungen vor allem bei Dünge- und Pflanzenschutzmitteln.
Wir sehen als Zielgruppe für das Verfahren die mittelgroßen Ackerbaubetriebe Westeuropas. Als Basis für die folgenden Betrachtungen steht ein fiktiver 350 Hektar Ackerbaubetrieb in der Bördelandschaft südlich von Hannover. Gemeinsam mit einer studentischen Arbeitsgruppe der Hochschule Osnabrück haben wir alternative Szenarien durchgerechnet.
Mechanisierung zur Anwendung des CRF Systems
Als Ausgangssituation wird die regional übliche Mechanisierung in einem 27 Meter Fahrgassensystem angenommen: Pflug, Grubber, Kompaktscheibenegge passen zu einem 200 PS Traktor. Eine 3 Meter Säkombination mit Aktiver Bodenbearbeitung, eine Einzelkornsämaschine, ein Anbaudüngerstreuer und eine Anhängefeldspritze sind als Ausrüstung eines Betriebes mit traditionell guten Erlösen aus Zuckerrüben üblich ist.

Bei der Umstellung auf das CRF System steht im Mittelpunkt die Neuorientierung des gesamten Betriebes an 6 Meter Sä- und Hacktechnik. Mit dem Frontbehälter FTender 1600 können verschiedene Geräte versorgt werden: Getreide-Säeinheit mit 12 Doppelreihen und TwinTec Scharen auf 15 cm Abstand. Die 12-reihige Einzelkornsämaschine kann über den Frontbehälter für den Unterfußdünger verwendet werden und die 12-reihige Hacktechnik für die Ausbringung von Untersaaten. Bisher nicht betrachtet, aber im System vorgesehen wäre auch ein Striptill Grubber mit variablen, reihenbezogenen 25 bzw. 50 cm Strichabstand, mit dem aus dem FTender der Dünger Unterflur deponiert werden könnte.
Im Mittelpunkt des Systems steht auch die präzise, in die Hacktechnik integrierte Bandspritzung. Der Fronttank FT-P 1502 und die Reihenspritzeinrichtung gehört damit zur Pflichtausstattung. Um den Fronttank weiter sinnvoll zu nutzen wird die Anhängespritze UX 4200 Special, 27 m durch eine Anbaufeldspitze UF 1302 mit 18 Meter ersetzt. In Kombination mit dem FT-P 1502 ist der Tank ausreichend groß um akzeptable Flächenleistung zu erreichen.

Potentiell wären auch andere Fahrgassensysteme und Mechanisierungen denkbar. So ist die Bandspritzung mit einer klassischen Anhängespritze (siehe AmaSelect row) auch möglich. Diese hat dann eine deutlich höhere Flächenleistung, kommt aber nicht auf die Präzision einer integrierten Bandspritzeinrichtung.
Auch die Kooperation mit Nachbarbetrieben beim überbetrieblichen Einsatz von Dünge- und Pflanzenschutztechnik kann sinnvoll sein, wenn ein Großteil der Anwendungen mit reihenbezogen platziert werden und damit die Auslastung der eigenen Standard Maschinen zu sehr sinkt.
Ökonomische Vorteile Effekte des CRF Systems
Kern des CRF Systems ist die reihenorientierte Platzierung möglichst vieler Betriebsmittel. Sehr einfach zu betrachten sind die Einsparungen der Herbizide. Wenn bei den Kulturen in Einzelreihen (Mais, Zuckerrübe, Raps) die Bandbreite bei 10 cm liegt und bei Doppelreihen im Getreide bei 20 cm, ergeben sich bei 50 cm Reihenweite Reduktionen um 80 bzw. 60 %. Einsparungen von Fungiziden und Insektiziden sind bei reihenbezogenen Anwendungen mit z.B. Droplegs auch vorstellbar. Sie wurden in den ersten Kalkulationen noch nicht betrachtet, da es noch zu wenig pflanzenbauliche Erkenntnisse dazu gibt.
Die Effizienzsteigerung einer platzierten Düngung ist vor allem beim Mais seit Jahren bekannt und auch für Jugendentwicklung des Getreides zunehmend im Einsatz (siehe SingleShoot Verfahren). Im CRF System sollen weitere Düngemaßnahmen in Abhängigkeit der Wirkungsweise der Düngerart reihenbezogen erfolgen. Sowohl die Hacktechnik wie auch die klassische Feldspritze eröffnet diverse Möglichkeiten feste und flüssige Dünger neben, auf oder unter der Reihe zu platzieren. Für diese Kalkulation haben wir angenommen, dass nur noch die dritte Gabe im Getreide ganzflächig appliziert wird und damit nur 26% aller Düngemaßnahmen ganzflächig erfolgen. In der Kalkulation haben wir bei konstanten Erträgen eine moderate Effizienzsteigerung der Düngemaßnahmen von 10% angenommen.
In der Summe der genannten Reduktionspotenziale ergibt sich im Pflanzenschutz eine Kostenreduktion um 43 % bzw. 64 € /ha und in der Düngung um 10 % bzw. 10 € / ha.
Aus der Nutzung von Geräten mit kleineren Arbeitsbreiten und Tanks zur Bandspritzung und Düngerplatzierung ergeben sich deutlich geringere Arbeitsleistungen pro Stunde die sich ökonomisch negativ auswirken. In der Kalkulation ergibt sich daraus eine Erhöhung der Maschinen- und Arbeitskosten um 63% bzw. 14.945 € / Jahr.
In der Bilanzierung wird allerdings deutlich, dass die absoluten Kosten pro Hektar bei den Maschinen geringer ansteigen als sich die Kosten der Pflanzenschutzmittel reduzieren. Und dies, obwohl wir in den Kalkulationen einen sehr hohen Stundensatz von 60 €/Stunde bei allen anfallenden Arbeiten angesetzt haben. Eine Verlagerung der Arbeit vom Betriebsleiter auf einen Aushilfsfahrer kann zusätzliche Reduktionen bringen.

- Die Steigerung der Maschinenkosten durch den Einsatz von Hacke, Fronttank und Bandspritze liegt bei 15 € / ha.
- Die zusätzliche Arbeitszeit ergibt Kosten von knapp 30 € / ha.
- Dem gegenüber steht vor allem die Reduktion der Kosten durch Herbizide – diese liegen in der Summe bei über 170 € / ha.

Die Bilanz fällt bei den verschiedenen Kulturen sehr unterschiedlich aus. Der intensive Einsatz von Herbiziden in Zuckerrüben bringt deutliche Kostenvorteile, in Mais und Raps gibt es leichte Vorteile und im Getreide heben sich die Effekte gegenseitig auf.
In der Betrachtung der gesamten Fruchtfolge des 350 ha Betriebes liegen die Kosten des CRF Systems 1 % unter der üblichen Flächenbewirtschaftung.
Herausforderung Arbeitszeit

Aus der veränderter Mechanisierung ergeben sich vollkommen andere Arbeitsleistungen pro Hektar. Bei Nutzung des Amazone Leistungsrechners sieht man in der Ausgangssituation eine Leistung mit der UX 4200 Special, 27 Meter von 12,4 ha / Stunde bei einer Gesamtjahresleistung von 1370 ha. Aus der Umstellung auf Bandspritzung der Herbizide mit Hacke und FT-P ergeben sich rund 670 ha notwendige Jahresleistung der Kombination. Mit einer Leistung von 4,9 ha/Stunde zeigt sich eine der wesentlichen Herausforderungen des CRF-Systems. Die übliche Flächenapplikation reduziert sich auf rund 700 ha / Jahr bei einer Stundenleistung der 18m Anbaufeldspritze von 7,7 ha. Der Unterschied zwischen üblicher Flächenspritzung und dem Einsatz von Hacktechnik wird plakativer, wenn man die notwendige Arbeitszeit für 120 ha sieht. Die 27 Meter Feldspritze benötigt ca. 10 Stunden, die 6 Meter Hacktechnik 24 Stunden.
In der Aufsummierung aller Arbeitsgänge über die gesamte Fruchtfolge inklusive aller Nebenzeiten wie Transport und Befüllung zeigt sich eine Zunahme des Arbeitszeitbedarfs um 48 %. Die Summe ist eine Herausforderung aus Sicht regionaler Schwierigkeiten bei der Personalsuche für die Landwirtschaft und den zunehmenden Personalkosten. Global gesehen stehen allerdings ausreichend Arbeitskräfte zur Verfügung. Politisch gelingt es aber bisher nicht dieses Ungleichgewicht aufzulösen.
Die zunehmende Automatisierung der Arbeitsprozesse in den Anbaugeräten (z.B. Lenkung der Hacke, Kontrolle der Arbeitsqualität mit Argus Twin) führt durch die Fahrerentlastung und höhere Fahrgeschwindigkeiten zu höheren Arbeitsleistungen pro Stunde. Wie man am Beispiel der Einzelkornsätechnik (EDX, Precea) sieht, ist in den letzten Jahren viel unternommen worden um auch bei hohen Geschwindigkeiten die Arbeitsqualität zu erhalten.
Mittelfristig wäre Controlled Row Farming ideal geeignet vollständig auf autonome Feldroboter umzustellen und damit die Herausforderung des steigenden Arbeitszeitbedarfs zu beantworten. Wenn es die verfügbaren Arbeitstage ermöglichen, können dann auch wieder die Arbeitsbreiten kleiner werden und die Geschwindigkeiten sinken. Dies kann potentiell wieder zum Vorteil der Präzision und der Arbeitsqualität führen und nicht zuletzt auch zur Verminderung des Dieselverbrauchs pro Hektar.
Vorstellung CRF System im September 2020
Kontakt
Die Nutzung und Erprobung vielfältiger digitaler Methoden von der Standorterfassung über den Maschineneinsatz bis zur Bonitur der Bestände und Auswertung der Erträge ist selbstverständlicher Teil des CRF-Projektes.
AMAZONE | |||||
DSV |